Background

In this study, the epitope-specific T-cell responses were investigated in a cohort of COVID-19 recovered patients using a selected panel of SARS-CoV-2 specific MHC I Dextramer® reagents. The patient’s cohort presented asymptomatic to severe COVID-19 infections.

Study Description

A panel of nine different SARS-CoV-2 epitopes recently identified as potential targets for a CD8+ T-cell response to SARS-CoV-2 were chosen for this study. Blood from a cohort of 106 recovered COVID-19 patients (all HLA-A*0201 positive) were analyzed for CD8+ T cells reactivity against these nine different SARS-CoV-2 epitopes using MHC I Dextramer® reagents and flow cytometry.

 

Results

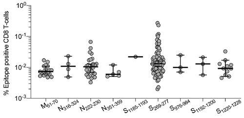
90% of the recovered COVID-19 patients mounted a detectable SARS-CoV-2-specific CD8+ T-cell response to at least one, and up to seven, of the nine epitopes (Table 1, Fig. 1). The frequency of SARS-CoV-2 specific CD8+ T cells was similar across all nine HLA-A2+ epitopes tested, with the highest individual responses observed for epitopes 3 and 6 (Fig.2). The cumulative frequency of SARS-CoV-2 specific CD8+ T cells across disease severity groups did not reveal any significant difference.

Fig.1 Example of antigen-specific CD8+ T cells identification in blood
from a COVID-19 patient using HLA-A*0201 / YLQPRTFLL MHC I Dextramer®.

Fig. 2 Frequency of SARS-CoV-2 specific CD8+ T cells in the 106 HLA-A2+ individuals analyzed with the SARS-CoV-2 specific MHC I Dextramer® reagents.

HLA-A*0201 epitope

SARS-CoV-2
Antigen

% Responders

1. TLACFVLAAV

Membrane

17%

2. GMSRIGMEV

Nucleocapsid

4%

3. LLLDRLNQL

Nucleocapsid

26%

4. ILLNKHIDA

Nucleocapsid

5%

5. RLNEVAKNL

Nucleocapsid

1%

6. YLQPRTFLL

Spike

81%

7. VLNDILSRL

Spike

3%

8. NLNESLIDL

Spike

3%

9. FIAGLIAIV

Spike

10%

Table 1 The nine SARS-CoV-2 epitopes sequence, antigen, and % positive responders

Conclusions

  • CD8+ T-cells reactivity against SARS-CoV-2 plays a central role in the recovery of COVID-19 diseases
  • 90% of the investigated individuals had a detectable SARS-CoV-2-specific CD8+ T-cell response
  • “The panel of Dextramer® applied here provide a new and sensitive representation of the general CD8+ T-cell response to SARS-CoV-2. It will be an important tool in assessing long-term immunity following infection or vaccination”

Download

Get the case study as a PDF.

Discover MHC I Dextramer®

Visit the MHC I Dextramer® page.

Questions?

Get in touch with our application specialists.